【用盐】谈谈样本量选择背后的科学道理
作者:陈聆帙@NetEase电商设计中心
总是说XX的样本量就够了,可是为什么呢?
如何决定样本量,是一个老生常谈的话题,也有很多相关文章。然而翻看相关文章,就会发现介绍选多少合适的比较多,而介绍为什么这么选就合适的却比较少。
相信很多用研同学都听过这句著名的话:
根据尼尔森关于可用性测试的经典理论,6-8人便可以找到产品80%以上的可用性问题。
但是……为啥呢?当有“无知的”地球人问:为什么6-8人就能发现80%以上的问题时,难道我们要理直气壮的说:因为是尼尔森说的么……
在样本量选择上似乎有一些“约定俗成”的规定。比如:可用性测试5-8人,问卷调研大约200-500份等等……但是,当需要和地球人理论时,单单的“约定俗成”却没有足够的说服力。不如让我们一起来看看这些“约定俗成”背后的科学道理,让自己更有底气。
1. 为什么说可用性测试5-8个人就够?
俗话说“8个用户可以发现80%的问题”。其实这句话并不完整,完整的说法应该是:
8个人可以80%的概率发现发生可能性大于18%的问题。
这话太绕了,尝试用人话解释一下:如果某个APP中存在一个BUG,100个人用,50个人用都会遇到,那么我们至少有80%的可能性发现。只要可能遇到的人大于18个(发生可能性大于18%),我们都至少有80%的可能性发现。但如果这个BUG只有5个人可会遇到,那么能发现的概率就要低于80%了。
之所以这么说,背后的原理是这样一个公式:
(P(X≥1)是在n次尝试中事件至少发生1次的概率,p是某事件的概率)
前辈们根据这个公式总结出了下表:
资料来源:《用户体验度量》Jeff Sauro,James R.Lewis著,机械工业出版社,P134-135从表中可以看出,决定样本量涉及到两个因素:一个是确定程度,一个是问题发生的概率。
再来具体看一看我们常说的“8个人”。
当选择8个人进行测试时,可以100%发现发生概率大于50%的问题,90%的可能性发现发生概率大于25%的问题,73%的可能性发现发生概率大于15%的问题。
就好像天气预报员说:100%的确定明天的降水概率大于50%,90%的确定明天的降水概率大于25%。
等等…这样的话会不会被质疑:8个人只能90%发现发生概率大于25%的问题,那发生概率低于25%的问题怎么办?就不重要了么?
不如让我们再来看看尼尔森关于钓鱼的比喻:
假设你有好多个池塘可以钓鱼,一些鱼比另一些鱼更容易抓到。所以,如果你有10小时,你会花10个小时都在一个池塘里钓鱼,还是花5个小时在一个池塘上、花另外的5个小时在另一个池塘上呢? 为使抓到的鱼数量最大化,你应该在两个池塘上都花一些时间,以便从每个池塘里都钓到容易钓的鱼。
一次何必找那么多用户,少做几个用户先把发生率高的问题get了,版本更新以后再继续找用户去get发生率高的问题,省时省力效果佳。
这样是不是就可以完整的证明我们可用性测试做5-8个人的观点了呢。
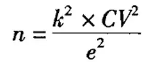
2. 问卷调研,样本量选多少?
在做问卷调研的时候,如何估计样本量?众所周知有一个公式:
但是这个公式存在一个问题:我要是连总体方差(CV2)都能知道,还做个毛线调研。
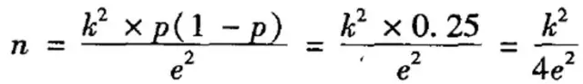
如果想估算总体方差,需要先选取一批人进行测试,得到一个样本方差,用样本方差代替总体方差,这在现实工作中显然难以实现。于是为了便于计算,伟大的前辈对公式进行了转换:
资料来源:《社会研究方法》仇立平著,重庆大学出版社,P137作者说这一转换是根据“推论总体比例或百分比的原理”进行的。姑且不去管这个转换原理是什么,这个公式我们可以这样来理解:当p=0.5的时候,总体的差异性最大。因为p=0.5表示两种情况出现的概率是相等的。比如一个群体中男生和女生出现的概率都是0.5,说明男女人数相等。这种情况下,这个群体的性别差异是最大的。
由于总体差异越大,需要的样本量就越大。我们面对任何总体的时候,都可以假设“这是一个差异性最大的总体”,来计算我们所需要的样本量。因此,把p=0.5代入,就简化出了一个可以供我们轻松计算样本量的公式。
如果想看到总体不同差异所对应的样本量,前人还总结了这样一个表:
资料来源:《社会研究方法》仇立平著,重庆大学出版社,P137因此假设总体差异性最大的情况下,在习惯使用的5%误差档,300多的样本也就可以了。
当然,在具体使用过程中,并不用查表那么麻烦。有一个著名的计算样本量的网站,直接去算就OK了。
http://www.surveysystem.com/sscalc.htm
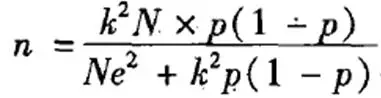
3.用户量越大,需调研人数越多?
首先,总体规模会对样本量有影响。当总体规模比较小的时候,对样本量影响较大。但是当总体规模达到一定程度以后,对样本量增加的需求是较小的。
我们往往调查所涉及到的总体不是无限总体,产品的用户人数都是一个有限的数量。因此在计算所需样本量的时候,为了更精确可以加入变量“总体规模”,公式大概长成这个样子:
然而这不是重点,重点是通过这个公式可以计算出,不同总体规模所需要的样本量大致如下:
由此可以看出,当总体规模在1万以下时,随着总体规模上升,所需样本量增加比较大。但是当总体规模在1万以上时,规模再变大,所需样本人数的增长变得缓慢。
为了得到更准确的答案,我们不妨用计算样本量的网址自己来算一下。假设置信区间为±3个标准差。计算结果如下:
如果再有人说:我们是亿级的产品,1000人怎么能代表我们的用户?
就可以理直气壮的告诉他:
总体规模10万以上和10万所需要的样本量并没有什么区别呢。
样本量选多少合适,对于调研本身而言或许不是个问题。但是当我们想推动调研结果的时候,样本量却很容易遭到对方质疑。可能是几百个人的答案看起来容易让人觉得不靠谱,也可能因为样本量是最容易质疑的一个因素……
无论如何,多了解一些背后的原因,让自己更有底气,或许才能更好地说服别人。
相关阅读:
文章来源:NetEase电商设计中心
头图来源:http://www.surveygizmo.com
========================================
不知不觉UXRen社区官网已经2岁了, 在这里小编要感谢那么一如既往支持本站的油茶人。 UXRen.cn欢迎油茶人投稿,提供有价值的资讯、线索、点子及建议。
邮箱:contact@13tech.com.cn
注明:本站内容及数据部分来自互联网及公开渠道,如有侵权请及时联系我们。
========================================
版权声明:UXRen社区发布文章均来自UXRen会员原创、成员投稿、活动笔记、翻译组原创或者授权文章,部分文章为转载内容,都会明确标注作者和来源,其版权归作者所有。若涉及版权问题,请添加QQ:497027206(小编Tracy),感谢支持。











公式成立是有条件的,比如要正态分布等,但是业务中符合条件的情况不多,所以还是要谨慎
其实主要的问题是:根据前任的经验,我们推断,采访8个人可以百分之百发现发生概率大于50%的问题,但是这并不能反推出,在采访8个人后我们发现的问题都是会百分之百或者是以极大的概率发生的。也就是说,在尝试说服设计师或者工程师的时候,他们来一句“你发现的问题实际上发生的概率到底是多少呢?很大吗?确定值得我们花时间解决吗?” 我们一样回答不了这个问题。而这个问题,也就是RESEARCH FINDING的reliability和generalizability 反而往往是用用研(至少是我)经常遇到的。不知道小伙伴们怎么想。。
可用性发现问题受到的挑战其实相对少,因为可用性测试的目标更多是发现usability problems,找到了,在投入不高的情况下完善,一般产品研发团队都乐而为之。
而对于定性的探索性研究,本身就是为了洞察和发现,并不是验证,如果5个人访谈,就可以得出100%的结论,反而没有什么意义,so,纠正我们对于定性方法的定位和认知,同时也让你的相关利益者知悉,如果真的是一个重要的决策,可以考虑验证,敏捷迭代其实也是一个非常好的办法。
懂了。意思就是说,定性研究、包括可用性研究的研究成果,关键是让团队明白存在什么样的问题和需求(“洞察和发现”),而这些问题和需求在目标用户中的可推广性以及与此相关的设计迭代的必要性是需要验证的、无法在定性研究中确定的。其实我本身很认可这样的思维方式。可能是我的团队的特殊情况吧,对于研究成果的PUSH BACK非常多,特别是研究的成果与设计师的想法正好相反、或者是要增加一点工程师的工作量的时候,就非常难将定性研究的成果(哪怕是可用性发现的成果)推进到产品的实现中去。
具体情况具体对待,我觉得你们需要通过一些外界(比如BAT的大牛)布道和洗脑,先让你们团队的人认知定性和定量的差异和价值。